1 前言
目前,傳統的航天器力學振動試驗采用加速度響應控制方法,試驗中的輸入條件為真實數據的一條包絡曲線。當試件發生共振時其有效質量降低加速度上升,當試件發生反共振時其有效質量上升加速度下降,因此無論是共振還是反共振其界面受力的變化并不大,共振和反共振一般都是伴隨出現的,兩者幾乎處于同一頻率。如果完全按照加速度包絡曲線進行試驗,反共振時的加速度下降就無法體現,在試件反共振時,振動臺為了使試件達到共振時的加速度必然會大幅增加推力的輸出,使試件受力嚴重過試驗,導致損傷產品。如果為了通過試驗會造成產品的過強度設計,這是導致航天器結構重量偏重的重要原因。目前通常采用共振點處加速度下凹控制來盡量避免過試驗,但是這種方法缺乏理論基礎,只能憑經驗,在過試驗和欠試驗之間很難把握下凹的準確量。為了解決加速度控制的缺陷,航天發達國家提出了力限振動試驗的設想。
力限振動試驗是在加速度控制的同時限制界面力,當界面力達到規定量時控制加速度主動下凹,從而避免過實驗。這是一種加速度控制與力的響應控制相結合的控制方式,可以有效解決純加速度控制的缺陷。NASA與歐空局于上世紀末開始從事力限振動試驗的研究,取得了大量成果,并在某些航天器的振動試驗中進行了實踐性的運用[1,2]。我國在近幾年開展了一些力限控制方法的研究,在理論基礎及實際應用中都取得了一定的成果[3]。
FMD(Force Measurement Device)是力限振動試驗中的主要部件,它起到了傳遞和測量界面力的作用。文獻[4]針對承力筒單向力限FMD進行了一系列分析,并給出了相關優化方法。文獻[5]介紹了三向FMD測力環進行整星試驗的結果。本文將針對某大型衛星進行三向力限FMD振動夾具設計,通過有限元分析算出各傳感器的受力情況,選出最佳方案,最后分析說明大型三向FMD的設計要點及難點,并提出了相應解決辦法。
2 力限FMD振動夾具設計
2.1 衛星相關參數說明
本FMD為了滿足某大型衛星的力限振動試驗而設計,該衛星質量2.7噸,質心高度1.65m。試驗條件按三個方向最大加速度1g分別進行5~100Hz正弦掃頻振動,在前期相同條件的純加速度控制試驗中,通過功放輸出電流換算得垂直向最大推力為6.7噸,水平向最大推力為10噸,用于加速度控制的夾具質量為378Kg。
2.2傳感器選型
該衛星力限振動試驗以20噸振動臺為激勵源,由于要進行三向試驗,且需要的測力范圍較大,初步選擇Kistler三向力傳感器中量程最大的9377B和9378B為FMD的測力組件,見圖1。
圖1:9377B和9378B三向力傳感器
這兩種傳感器外形和性能指標完全一樣,不同點僅為導線接口位置相反。根據文獻[4,5]的論述,為了保證FMD的剛度,對于大型FMD夾具應配置8個以上的傳感器。在此選擇9377B和9378B各4個,呈圓周均布,這樣可使導線走向一致,有利于采集設備的安放。9377B和9378B具有測量范圍大、靈敏度高、剛度高、抗干擾能力強等優點,在出廠前已進行了預緊和校準,客戶只需將其安裝在FMD夾具內即可使用。傳感器安裝方式極為簡便,通過上下各4個M16螺釘進行緊固。其外形尺寸見圖2,主要性能指標見表1。

圖2:傳感器外形及安裝尺寸
表1:傳感器主要性能指標
2.3 FMD夾具設計
力限FMD夾具不同于傳統的振動夾具,傳統的振動夾具一般采用整體式結構,盡量避免螺接或焊接。力傳感器測量的原理決定了其必須成為夾具中承力的主要部件,因此FMD夾具通常為分體式,通過螺釘連接為一個整體,在文獻[5]中將FMD設計為一個測力環,然后其上再安裝夾具。本設計將測力環與夾具進行整合使其具有測力和夾具的雙重功能,該FMD夾具由三部分組成:上夾具、下夾具、力傳感器,見圖3。上夾具用于與衛星連接,下夾具用于與振動臺連接。
圖3:力限FMD夾具
為了使夾具在保證剛度的前提下重量盡可能輕,選用鑄鋁作為上下夾具的材料,并通過鑄造成形。經計算上下兩段夾具總質量為514.54Kg,傳感器每個質量10.5Kg,共84Kg,整個FMD夾具總質量為598.54Kg,總高度295mm。本夾具由于采用的是組合連接方式,具有很高的靈活性,對于接口不同的衛星產品只需重新投產上夾具即可解決兼容性問題。8個力傳感器的分布有兩種選擇,即正交分布和斜交分布。正交分布為在橫向振動的X和Y軸上具有4個傳感器,見圖4。斜交分布為傳感器與橫向振動的X、Y軸具有22.5度的偏離,見圖5。
圖4:正交分布
圖5:斜交分布
當做垂直向振動時,8個傳感器在受力方向上處于同一平面,力由每個傳感器均勻承擔,正交與斜交對于傳感器的受力幾乎沒有區別。當做水平向振動時,受力情況較為復雜,除了橫向力外還具有傾覆力,且傳感器在橫向力的方向上不處于同一平面,每個傳感器的受力是完全不同的,正交與斜交兩種分布方式將會對傳感器的受力產生影響。本文第3節中將分析兩種分布的剛度以及對于橫向受力的影響,選出較為合理的一種。
3 計算與分析
3.1 頻率計算
頻率計算采用cosmos軟件進行有限元模態分析,由于下夾具與振動臺連接,故約束下夾具每個安裝孔的3個平動自由度,傳感器分別通過4個螺釘與上下夾具相連,因此將傳感器的上下表面設置為剛性連接。傳感器建模外形按照實際尺寸,并修正其密度和彈性模量,使之質量和各向一階頻率與實際指標一致。經修正密度為7540kg/m3,彈性模量為4.5GPa,計算質量為10.5Kg,計算一階橫向頻率為1927Hz,一階垂直向頻率為2030Hz。可見在這組參數的修正下,橫向剛度基本與指標一致,由于內部結構未知,只能將其模擬為剛體,因此在彈性模量一致的情況下出現了垂直向剛度和橫向剛度相差不大的情況,修正后的傳感器模型滿足了橫向剛度,雖然垂直向剛度遠小于指標值,但可以說此模型是保守的,如果將其代入整體結構進行計算,其頻率也將是保守的。經計算正交分布和斜交分布的一階頻率見表2,振型見圖6、7、8、9。
表2:正交與斜交分布一階頻率
圖6:正交分布橫向一階振型
圖7:斜交分布橫向一階振型
圖8:正交分布垂直向一階振型
圖9:斜交分布垂直向一階振型
從表2可知無論是正交還是斜交分布,其橫向一階頻率都幾乎達到了試驗最高頻率的3倍,而垂直向頻率由于使用了傳感器的保守剛度,其實際頻率應比表格中的數值更高,因此從頻率角度來說正交和斜交都可滿足試驗的要求。
3.2 水平向試驗傳感器受力情況分析
在傳感器的指標中,傾覆力矩量程(Mx,My)為2600Nm,扭轉力矩量程(Mz)為1550Nm。如果試驗中衛星造成的傾覆力矩由8個傳感器平均承擔,則僅能測量2600×8=20.8KNm的傾覆力矩,這對于一般衛星試驗來說顯然是不夠的。此外根據傳感器的指標計算水平向測力可達8×60=480KN,水平向量程是否真有如此大?根據2.3節末尾的推論,FMD夾具的水平向受力情況遠較垂直向來得復雜,以上兩個結論到底是否正確還有待進一步驗證,因此很有必要針對水平向試驗的傳感器受力情況進行詳細分析。
由上文可知衛星質量2.7噸,質心高度1.65m,原夾具質量378Kg,試驗水平向最大推力10噸,FMD夾具質量598.54Kg,試驗最大量級1g。振動臺推力公式如下:
F=kMA (1)
式中F為推力,k為有效質量系數,M為運動部件總質量,A為加速度。在純加速度控制中,水平向衛星與振動臺總的運動質量M=動圈(116Kg)+驅動塊(50Kg)+滑板(347Kg)+附加鋁板(500Kg)+夾具(378Kg)+衛星(2700Kg)=4091Kg,A=1×10=10m/s2,F=100KN,將M、A、F代入式(1),可得此衛星有效質量系數k=2.44。
在力限控制中,水平向衛星與振動臺總的運動質量M=動圈(116Kg)+驅動塊(50Kg)+滑板(347Kg)+附加鋁板(500Kg)+夾具(598.54Kg)+衛星(2700Kg)=4312Kg,A=10m/s2,k=2.44,同樣將M、A、k代入式(1),可得此衛星在力限試驗中的預測最大推力為10.5噸。考慮到安全余量,將此推力放大20%,即12.6噸(126KN)作為靜力分析的載荷,運用cosmos軟件對FMD夾具進行靜力計算。
在靜力計算中約束下夾具各安裝孔的3個平動自由度,載荷施加在上夾具頂部平面中心上方1.65m處,采用遠程載荷多點剛性約束將載荷傳遞給上夾具與衛星連接的各個安裝孔,傳感器與上下夾具的8個螺釘連接采用剛性接頭單元進行連接,以便傳遞力。約束狀態見圖10。
圖10:靜力計算約束狀態
在分析中,分別計算各傳感器與上夾具4個連接孔的三個方向的力以及其相對傳感器頂面中心的力矩,然后再算出各傳感器的三向合力及合力矩,經計算正交和斜交各傳感器受力情況見表3,傳感器序號見圖4,5。
表3:傳感器受力情況
由表3可知,正交分布最大X向合力為24.75KN,最大Y向合力為12.2KN,最大Z向合力為74.4KN,斜交分布最大X向合力為24.34KN,最大Y向合力為8.27KN,最大Z向合力為74.1KN,由此可見無論正交還是斜交其三個方向的合力都沒有超過傳感器的量程,而力矩方面都處在1KNm以下,完全不存在上述無法承擔傾覆力矩的問題,能夠滿足試驗測量的要求。此外從X向受力情況來看8個傳感器的受力都不相同,當其中X向受力最大的傳感器達到指標中的60KN時,其他的傳感器還遠沒有達到60KN,因此其量程要遠低于上述的480KN。
表3中的Z向合力可用于傾覆力矩的測算,其中兩種分布情況受拉向的力都遠大于受壓向的力,這種現象根據材料力學彎矩原理說明在水平向試驗中傾覆力矩中心并不處于夾具的中心,而是靠近受壓端,且在真實試驗中該中心呈正弦方式相對夾具中心來回擺動,并隨著推力的變化其擺動幅度也將隨之改變。
3.3 螺釘校核
根據以往試驗的經驗,水平向由于傾覆力矩的參與,螺釘在垂直向無論最大軸向應力還是最大橫向應力都小于水平向,且傳感器與夾具連接的方式為一端通孔、一端螺紋孔,通孔直徑略大于螺釘外徑,形成間隙配合,這種連接方式僅能看作普通螺栓連接而不能看作絞制孔連接。因此根據機械設計手冊關于普通螺栓連接的應力校核方法,本節將著重針對傳感器與上夾具連接螺釘進行軸向應力和橫向應力兩個方面的校核,并通過預緊力計算出螺釘的最小扭矩,最后根據扭矩校核其剪切應力。
從表3可以看出最大橫向力為25.38KN,最大軸向力為74.4KN,由于兩種分布方式橫向和軸向最大合力區別不大,因此僅以這兩個最大的數據作為校核的載荷條件。
3.3.1 軸向應力
傳感器與上夾具連接螺釘為4個碳鋼8.8級M16 2.0螺釘,傳感器頂部平面相對于整個FMD夾具來說可簡化為一點,4個螺釘的受力誤差忽略不計,因此認為傳感器的最大軸向力由4個螺釘均分承擔,每個螺釘承受的最大軸向力F=74.4/4=18.6KN。校核螺釘軸向應力公式如下:
(2)
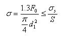
式中 為螺釘軸向應力;S為最大應力安全系數,在控制預緊力的情況下,S應取1.2~1.5,在此為了安全取1.5;d1為螺釘小徑,查表得M16 2.0螺釘小徑為13.835mm; 為螺釘的屈服極限,查表得8.8級碳鋼螺釘屈服極限為640MPa;F0為螺釘總拉力,它是螺釘所受軸向載荷與剩余預緊力之和見下式:
(3)
式中F"為剩余預緊力,查表得在承受動載荷的情況下其值應取(0.6~1.0)F,為了安全取1.0F,由此可得F0=2F=2 18.6=37.2KN。將S、F0、d1代入式(2)得 =321.7MPa<640/1.5=426.7MPa,軸向應力符合安全要求。
3.3.2 橫向應力
普通螺栓橫向應力校核的原則為在預緊力的作用下,橫向力不能使被連接工件之間發生錯動,根據機械設計手冊傳感器每個螺釘最大預緊力公式如下:
(4)
式中F"為每個螺釘受最大橫向力;k為摩擦連接可靠性因子,取值范圍為1.1~1.3,為了安全取1.3;m為結合面數,由于傳感器與上夾具及螺釘墊片有2面結合,因此m=2;Fw為最大橫向總受力25.38KN; 為結合面間摩擦因數,對于干燥的鋼鐵零件取值范圍為0.1~0.16,為了安全取0.1;z為螺釘個數4。將k、Fw、m、 、z代入式(4)得F"=41.243KN。
仍然運用式(2),此處F0=F",將其余數值代入得 =356.7MPa<640/1.5=426.7MPa,橫向應力符合安全要求。
3.3.3 螺釘扭矩計算及校核
螺釘扭矩與預緊力簡化關系式如下:
(5)
其中T為扭矩;F"為螺釘最大預緊力41.243KN;d為螺釘公稱直徑16mm,將F"、d代入式(5)得扭矩T=132Nm。因此在裝配時只要每個M16螺釘安裝扭矩不小于132Nm,就可以保證安全的預緊力。
對螺釘施加扭矩會使其產生剪切應力,因此必須對其進行校核,螺釘抗扭截面模量及校核扭轉剪切應力計算式見式(6)、(7):
(6)
(7)
式中Wp為抗扭截面模量;d1為螺釘小徑13.835mm; 為扭轉剪切應力;T為扭矩132Nm; 為許用剪切應力,查表得在變載情況下, = /2.5=256MPa。將上述參數代入式(6)、(7)得 =254MPa< =256MPa,扭轉剪切應力符合安全要求。
3.4 結論
從上述分析中我們可以看出,正交分布和斜交分布無論在頻率上還是受力情況上都能滿足試驗的要求及傳感器的指標,雖然兩種分布的受力情況完全不同,但兩者之間沒有明顯的優劣,因此對于力限FMD振動夾具的設計可任選一種分布方式,本次設計最后選擇了正交分布。而傳感器的連接螺釘在軸向力、橫向力以及扭矩的校核中都能滿足安全要求,但扭轉剪切應力略顯余量不足,這可以通過選擇更高級別的螺釘(如10.9級)來解決。綜上所述,此FMD夾具的設計及傳感器選型符合力限試驗的要求。
4 問題討論
從設計到分析,可以看出大型FMD夾具設計的要點為選材、傳感器數量、傳感器選型、結構、螺釘配置以及加工。其中選材、傳感器數量以及結構決定了整個夾具的剛度,前兩者文獻[4]進行了詳盡的分析,并給出了重要結論,結構方面應盡量考慮安裝方便,在保證必要剛度的同時盡量減輕重量、降低高度。關于傳感器選型和螺釘配置決不能想當然粗略計算了事,其實際的受力情況遠比想象中的復雜,必須進行詳細計算后再作出選擇,這樣才可保證萬無一失。在夾具的加工上,為了保證測量精度,各個力傳感器在安裝后對于上下平面的平面度要求極高,而大型FMD的上下夾具與傳感器安裝面的面積較大,在加工時很難做到極高的平面度,這可以通過在上下夾具安裝面上設計凸臺來減小其面積降低加工難度。總之大型FMD夾具在設計中必須考慮周全,計算充分才能保證性能,確保加工后一次成功。
5 總結
本文通過對某大型衛星三向力限FMD振動夾具的設計和分析,揭示了其頻率特征和詳細的水平向受力情況。目前國內已有多個科研院所開展了力限振動試驗的研究,但大多都停留在垂直向做單向試驗,傳感器也僅用到單向力傳感器,隨著理論水平及傳感器技術的不斷進步,自"十一五"規劃開始出現了三項力限振動試驗的研究課題。本文的論述僅為一種設計計算方法,力圖消除認識誤區,為將來越來越多的三向FMD夾具設計打下基礎。本次的設計計算還存在如擺動的傾覆力矩中心如何準確測量,從而得到真實傾覆力矩;傳感器受力如超過指標應如何配置傳感器;傳感器模型應如何模擬才能精確的反應其各向剛度等問題,這些問題都有待進一步研究解決。