2.2 分析變位系數 x 和齒數 z 對齒輪齒形的影響
(1) 當 x>0 時,齒頂厚 sa(齒頂圓上輪齒厚度,圖 1 所示)減薄,齒高增加;而 x<0時,齒頂厚 sa加厚,齒高減少。
(2) 當正變位系數 x 過大(特別是齒數 z較少時)就可能出現齒頂過薄,或者出現頂切現象,如圖 5 所示。其 z=16,m 和 x 與圖 4(a)相同,但齒形不同,其頂切較明顯;
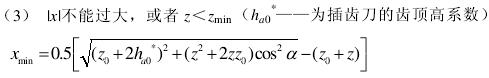
(3) 當負變位系數 x 過大或者 z<zmin時會產生根切現象。
以上圖像可以直觀的反映變位齒輪的變位系數 x 對齒輪幾何尺寸的影響,又對變位齒輪的頂切作出分析。

2.3 對變位齒輪進行一些限制,避免出現以上現象



3 變位齒輪的設計
SolidWorks 不但能設計出形狀逼真的三維立體 ,而且可以利用已經設計的三位模型創建所需的各個視圖,包括剖視圖、局部放大視圖等,極大地方便了產品的設計。以 CM6154 車床床頭箱變位齒輪(z=40,m=3,x=0.42)為例,討論基于 SolidWorks 設計變位齒輪的實體和工程圖。
3.1 設計齒輪實體的流程
(1) 形體設計
啟動齒輪插件 → 設置齒輪參數(圖 6)→生成齒輪模型→拉伸 → 輪轂→切挖 →輻板(圖 7)→切鍵槽→倒角 → 倒圓角 →生成齒輪模型。

相關文章
- 2021-09-08BIM技術叢書Revit軟件應用系列Autodesk Revit族詳解 [
- 2021-09-08全國專業技術人員計算機應用能力考試用書 AutoCAD2004
- 2021-09-08EXCEL在工作中的應用 制表、數據處理及宏應用PDF下載
- 2021-08-30從零開始AutoCAD 2014中文版機械制圖基礎培訓教程 [李
- 2021-08-30從零開始AutoCAD 2014中文版建筑制圖基礎培訓教程 [朱
- 2021-08-30電氣CAD實例教程AutoCAD 2010中文版 [左昉 等編著] 20
- 2021-08-30電影風暴2:Maya影像實拍與三維合成攻略PDF下載
- 2021-08-30高等院校藝術設計案例教程中文版AutoCAD 建筑設計案例
- 2021-08-29環境藝術制圖AutoCAD [徐幼光 編著] 2013年PDF下載
- 2021-08-29機械AutoCAD 項目教程 第3版 [繆希偉 主編] 2012年PDF